杨瀚森全明星票数揭晓!获10.4万票排名第36媒体和球员票均为零
发表时间:2026-01-20 08:43:42 浏览:0
北京时间1月20日,北京时间1月20日,NBA官方公布了2026年全明星赛的首发阵容。西部首发是亚历山大、约基奇、东契奇、文班亚马和库里,东部首发是字母哥、坎宁安、布伦森、马克西
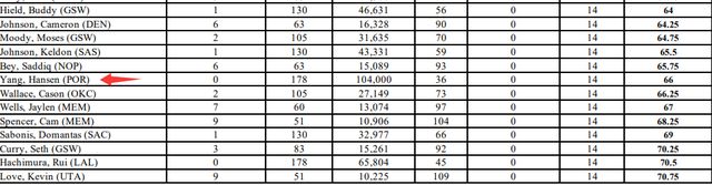
北京时间1月20日,北京时间1月20日,NBA官方公布了2026年全明星赛的首发阵容。西部首发是亚历山大、约基奇、东契奇、文班亚马和库里,东部首发是字母哥、坎宁安、布伦森、马克西和杰伦-布朗。随后,NBA官方公布了具体票数。东契奇得到3402967票,成为票王。杨瀚森得到104000票,在球迷投票部分,排名联盟第36位。


杨瀚森的媒体票和球员票均为零,2026年NBA全明星赛首发球员由球迷、现役NBA球员以及媒体评审团共同选出。球迷投票占首发人选评选权重的50%,球员与媒体投票各占25%。所有投票统计完毕后,球员将按照投票群体划分,在东西部两个联盟内分别进行排名。每位球员的最终得分,由其在球迷投票、球员投票和媒体投票中的加权排名取平均值计算得出。
球员得分的权重分配为球迷投票占50%、球员投票占25%、媒体投票占25%,具体计算公式为:(球迷排名×2+球员排名+媒体排名)÷4
杨瀚森的加权得分是66(分越低排名越高,比如约基奇是1.75),在他后一位是雷霆的卡森-华莱士,在他前一位是鹈鹕的萨迪克-贝。
杨瀚森今日已经被开拓者下放到发展联盟,将继续为混音出战比赛。过去两场发展联盟比赛,杨瀚森场均18分12篮板,分别创得分新高(22)和篮板新高(17)。
推荐新闻
- 北京时间1月25日,NBA常规赛公牛主场对阵凯尔特人,其中凯尔特人是背靠背第二场,公牛为罗斯举办1号球衣退役仪式...发表于: 01-26 08:53
- 在此前的一场NBA常规赛中,洛杉矶湖人经过苦战后以116比110战胜了主场作战的达拉斯独行侠。本场比赛后,在最近4...发表于: 01-26 08:53
- 北京时间1月25日,NBA常规赛骑士客场对阵魔术,其中骑士是背靠背第二场。骑士借助内外开花的攻势压制,在末节逐步...发表于: 01-26 08:53
- NBA传闻:开拓者队或将参与扬尼斯·阿德托昆博的交易,米卡尔·布里奇斯或将牵扯其中有传闻称,波特兰开拓者队可...发表于: 01-26 08:53
- 在此前的一场NBA常规赛中,洛杉矶湖人经过苦战后以116比110战胜了主场作战的达拉斯独行侠。本场比赛后,在最近4...发表于: 01-26 08:53
- 1月25日。湖人小比分击败独行侠。詹姆斯全三节放权,数据一般。但第四节在湖人需要追分的时候,詹姆斯立刻上线...发表于: 01-26 08:53
- NBA常规赛,独行侠坐镇主场迎击湖人。本场比赛之前,湖人26胜17负排名西部第5,近段时间湖人表现相对挣扎,球队氛围...发表于: 01-26 08:53
- 1月25日,美国记者Evan Sidery报道,因为扬尼斯没有确定自己的未来,所以本赛季中期NBA所有交易都停摆了,每支球队...发表于: 01-26 08:52
- 1月25日,巴克利在ESPN的节目中谈起勇士的库明加事件,他认为这次闹剧中,库里是唯一输家,因为在生涯末年,库里要在...发表于: 01-26 08:52
- 在此前的一场NBA常规赛中,洛杉矶湖人经过苦战后以116比110战胜了主场作战的达拉斯独行侠。本场比赛后,在最近4...发表于: 01-26 08:52
录像/集錦
- 足球录像
- 篮球录像
- 足球集锦
- 篮球集锦
-
西甲 01-26 04:00
-
法甲 01-26 03:45
-
意甲 01-26 03:45
-
西甲 01-26 01:30
-
意甲 01-26 01:00
-
德甲 01-26 00:30
-
英超 01-26 00:30
-
法甲 01-26 00:15
-
法甲 01-26 00:15
-
法甲 01-26 00:15
-
西甲 01-25 23:15
-
德甲 01-25 22:30
-
英超 01-25 22:00
-
意甲 01-25 22:00
-
英超 01-25 22:00
-
NBA 01-26 09:00
-
CBA 01-25 20:00
-
CBA 01-25 19:35
-
CBA 01-25 19:35
-
NCBA 01-25 19:35
-
CBA 01-25 19:35
-
CBA 01-25 19:35
-
CBA 01-25 19:35
-
WCBA 01-25 19:30
-
NBA 01-25 10:30
-
NBA 01-25 09:30
-
NBA 01-25 09:00
-
NBA 01-24 11:00
-
NBA 01-24 08:30
-
NBA 01-23 08:00
-
西甲 01-26 04:00
-
法甲 01-26 03:45
-
葡超 01-26 02:00
-
西甲 01-26 01:30
-
德甲 01-26 00:30
-
法甲 01-26 00:15
-
法甲 01-26 00:15
-
法甲 01-26 00:15
-
德甲 01-25 22:30
-
意甲 01-25 22:00
-
意甲 01-25 22:00
-
法甲 01-25 22:00
-
意甲 01-25 19:30
-
法甲 01-25 04:05
-
意甲 01-25 03:45
-
比赛集锦 01-26 10:00
-
比赛集锦 01-26 09:00
-
比赛集锦 01-26 08:00
-
比赛集锦 01-26 08:00
-
比赛集锦 01-26 06:30
-
比赛集锦 01-26 04:00
-
比赛集锦 01-26 04:00
-
比赛集锦 01-25 20:00
-
比赛集锦 01-25 19:35
-
比赛集锦 01-25 19:35
-
比赛集锦 01-25 19:35
-
比赛集锦 01-25 19:35
-
比赛集锦 01-25 19:35
-
比赛集锦 01-25 19:35
-
比赛集锦 01-25 19:30
热门标签
- 足球
- 篮球

